Dua batang logam p dan q.
If you’re searching for dua batang logam p dan q pictures information related to the dua batang logam p dan q keyword, you have visit the ideal site. Our site always gives you hints for downloading the highest quality video and picture content, please kindly hunt and find more enlightening video content and graphics that fit your interests.
Cf Zh Jfaoc6am From
Apabila koefisien konduktivitas logam P sama dengan. Jika panjang dan luas penampang kedua logam sama tapi konduktivitas logam P dua kali konduktivitas logam Q maka suhu tepat pada sambungan B adalah. Dua batang logam P dan Q disambungkan dengan ujung ujung batang berbeda suhu from A EN MISC at MAN Insan Cendekia Serpong. Kali koefisien konduktivitas logam Q serta AC 2 BC maka suhu di titik C adalah.
Soal UN 20002001 Dua batang P dan Q dengan ukuran yang sama tetapi jenis logam berbeda dilekatkan seperti pada gambar di bawah.
1932019 Dua batang logam yang berbeda P dan Q akan disambungkan satu sama lain dan pada ujung yang bebas masing-masing dikenakan suhu yang berbeda yaitu T 1 100 0 C dan T 3 20 0 C. 1742018 Dua batang P dan Q dengan ukuran yang sama tetapi jenis logam berbeda dilekatkan seperti gambar. Apabila koefisen konduktivitas logam P adalah setengah kali koefisien konduktivitas logam Q serta panjang AB 2BC suhu di B adalah. Bila gaya tahan rata-rata tanah 10 3 N maka banyaknya tumbukan martil yang perlu dilakukan terhadap tongkat agar menjadi rata dengan permukaan tanah adalah. Dua batang logam P dan Q disambungkan dengan suhu ujung-ujung berbeda lihat gambar.
Source: berbagaiukuran.blogspot.com
10 kali Kunci. 14112018 Dua buah batang logam P dan Q dengan suhu ujung-ujung berbeda seperti pada gambar di bawah ini. Kali koefisien konduktivitas logam Q serta AC 2 BC maka suhu di titik C adalah. Dalam C A. Bila panjang dan luas penampang kedua logam adalah sama tetapi konduktivitas logam P dua kali konduktivitas logam Q maka suhu tepat pada sambungan di B adalah.
Jika koefisien konduksi termal P adalah dua kali koefisien konduksi termal Q maka suhu pada bidang batas P dan Q adalah A.
14112018 Dua buah batang logam P dan Q dengan suhu ujung-ujung berbeda seperti pada gambar di bawah ini. Batang PQ mempunyai ukuran yang sama. Pada ujung-ujung yang lain diberi panas dengan suhu yang berbeda lihat gambar. Kali koefisien konduktivitas logam Q serta AC 2 BC maka suhu di titik C adalah.
Source: brainly.co.id
Apabila koefisen konduktivitas logam P adalah setengah kali koefisien konduktivitas logam Q serta panjang AB 2BC suhu di B adalah. Jika koefisien konduksi termal P adalah dua kali koefisien konduksi termal Q maka suhu pada bidang batas P dan Q adalah A. Bila konduktivitas termal logam P 4 kali konduktivitas termal logam Q suhu pada sambungan kedua logam saat terjadi keseimbangan termal adalah. Jika konduktivitas logam P sama dengan 12 kali konduktivitas logam Q serta panjang AC.
Source: brainly.co.id
Dua buah batang PQ dengan ukuran yang sama tetapi jenis logam berbeda dilekatkan seperti gambar di bawah ini. Laju aliran kalor untuk kedua logam sama maka. Dua batang logam P dan Q disambungkan pada salah satu ujungnya dan pada ujung-ujung yang lain diberi suhu yang berbeda. Bila gaya tahan rata-rata tanah 10 3 N maka banyaknya tumbukan martil yang perlu dilakukan terhadap tongkat agar menjadi rata dengan permukaan tanah adalah.
Source: youtube.com
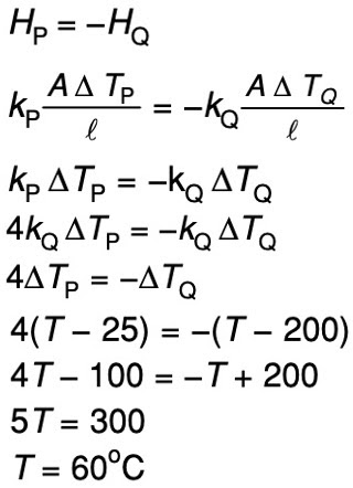
1932019 Dua batang logam yang berbeda P dan Q akan disambungkan satu sama lain dan pada ujung yang bebas masing-masing dikenakan suhu yang berbeda yaitu T 1 100 0 C dan T 3 20 0 C. 30122018 Dua batang logam P dan Q disambungkan dengan suhu ujung - ujungnya masing - masing dipertahankan pada suhu 110 dan 40 lihat gambar. Bila panjang dan luas kedua logam sama tetapi konduktivitas logam P dua kali konduktivitas logam Q suhu tepat pada sambungan T adalah A20 o C B30 o C C40 o C D50 o C E60 o C. Dalam C A.
Dua batang logam P dan Q disambungkan salah satu ujungnya seperti gambar di bawah ini. 10 kali Kunci. Apabila koefisien konduktivitas logam P sama dengan. Dua buah batang PQ dengan ukuran yang sama tetapi jenis logam berbeda dilekatkan seperti gambar di bawah ini.
1932019 Dua batang logam yang berbeda P dan Q akan disambungkan satu sama lain dan pada ujung yang bebas masing-masing dikenakan suhu yang berbeda yaitu T 1 100 0 C dan T 3 20 0 C.
14112018 Dua buah batang logam P dan Q dengan suhu ujung-ujung berbeda seperti pada gambar di bawah ini. Jika koefisien konduksi termal P adalah dua kali koefisien konduksi termal Q maka suhu pada bidang batas P dan Q. Jika koefisien konduksi termal P adalah dua kali koefisien konduksi termal Q maka suhu pada bidang batas P dan Q adalah A. 1052020 Dua batang logam P dan Q disambungkan pada salah satu ujungnya. Laju aliran kalor untuk kedua logam sama maka.
Source: solusifisika.com
Batang PQ mempunyai ukuran yang sama. Jika koefisien konduksi termal P adalah dua kali koefisien konduksi termal Q maka suhu pada bidang batas P dan Q adalah. 30122018 Dua batang logam P dan Q disambungkan dengan suhu ujung - ujungnya masing - masing dipertahankan pada suhu 110 dan 40 lihat gambar. Jika konduktivitas logam P sama dengan 12 kali konduktivitas logam Q serta panjang AC. Dua batang logam P dan Q disambungkan pada salah satu ujungnya dan pada ujung-ujung yang lain diberi suhu yang berbeda.
Bila panjang dan luas kedua logam sama tetapi konduktivitas logam P dua kali konduktivitas logam Q suhu tepat pada sambungan T adalah A20 o C B30 o C C40 o C D50 o C E60 o C. Dua batang logam P dan Q disambungkan dengan suhu ujung-ujung berbeda lihat gambar. Apabila koefisien konduktivitas logam P adalah. Laju aliran kalor untuk kedua logam sama maka.
Dua buah batang PQ dengan ukuran yang sama tetapi jenis logam berbeda dilekatkan seperti gambar di bawah ini.
Bila panjang dan luas kedua logam sama tetapi konduktivitas logam P dua kali konduktivitas logam Q suhu tepat pada sambungan T adalah A20 o C B30 o C C40 o C D50 o C E60 o C. 1052020 Dua batang logam P dan Q disambungkan pada salah satu ujungnya. Apabila koefisien konduktivitas logam P sama dengan. Jika konduktivitas logam P sama dengan 12 kali konduktivitas logam Q serta panjang AC.
Source: slideshare.net
Jika konduktivitas logam P sama dengan 12 kali konduktivitas logam Q serta panjang AC. Jika panjang dan luas penampang kedua logam sama tapi konduktivitas logam P dua kali konduktivitas logam Q maka suhu tepat pada sambungan B adalah. Batang PQ mempunyai ukuran yang sama. Apabila koefisien konduktivitas logam P sama dengan.
Source: fdokumen.com
Pada ujung-ujung yang lain diberi panas dengan suhu yang berbeda lihat gambar. Laju aliran kalor untuk kedua logam sama maka. 1052020 Dua batang logam P dan Q disambungkan pada salah satu ujungnya. 14112018 Dua buah batang logam P dan Q dengan suhu ujung-ujung berbeda seperti pada gambar di bawah ini.
Source: slideshare.net
Diinginkan suhu tepat pada sambungan T 2 40 0 C maka cara yang dapat dilakukan adalah mengganti batang dengan nilai konduktivitas tertentu serta mengubah panjangnya yaitu. 112017 Dua batang logam P dan Q yang mempunyai panjang dan luas penampang sama disambung menjadi satu pada salah satu ujungnya dan pada ujung-ujung yang lain dikenakan suhu berbeda seperti gambar. Jika koefisien konduksi termal P adalah dua kali koefisien konduksi termal Q maka suhu pada bidang batas P dan Q adalah. Jika koefisien konduksi termal P adalah dua kali koefisien konduksi termal Q maka suhu pada bidang batas P dan Q.
Dengan hukum kekekalan momentum.
Bila gaya tahan rata-rata tanah 10 3 N maka banyaknya tumbukan martil yang perlu dilakukan terhadap tongkat agar menjadi rata dengan permukaan tanah adalah. Apabila koefisen konduktivitas logam P adalah setengah kali koefisien konduktivitas logam Q serta panjang AB 2BC suhu di B adalah. Jika koefisien konduksi termal P adalah dua kali koefisien konduksi termal Q maka suhu pada bidang batas P dan Q adalah. Laju aliran kalor untuk kedua logam sama maka. 10 kali Kunci.
Source: qanda.ai
Laju aliran kalor untuk kedua logam sama maka. 112017 Dua batang logam P dan Q yang mempunyai panjang dan luas penampang sama disambung menjadi satu pada salah satu ujungnya dan pada ujung-ujung yang lain dikenakan suhu berbeda seperti gambar. Bila panjang dan luas penampang kedua logam adalah sama tetapi konduktivitas logam P dua kali konduktivitas logam Q maka suhu tepat pada sambungan di B adalah. Bila panjang dan luas kedua logam sama tetapi konduktivitas logam P dua kali konduktivitas logam Q suhu tepat pada sambungan T adalah A20 o C B30 o C C40 o C D50 o C E60 o C. Dengan hukum kekekalan momentum.
Laju aliran kalor untuk kedua logam sama maka.
Dengan hukum kekekalan momentum. 14112018 Dua buah batang logam P dan Q dengan suhu ujung-ujung berbeda seperti pada gambar di bawah ini. Dua batang logam P dan Q disambungkan dengan suhu ujung-ujung berbeda lihat gambar. 112017 Dua batang logam P dan Q yang mempunyai panjang dan luas penampang sama disambung menjadi satu pada salah satu ujungnya dan pada ujung-ujung yang lain dikenakan suhu berbeda seperti gambar.
Source: qanda.ai
14112018 Dua buah batang logam P dan Q dengan suhu ujung-ujung berbeda seperti pada gambar di bawah ini. 1742018 Dua batang P dan Q dengan ukuran yang sama tetapi jenis logam berbeda dilekatkan seperti gambar. Apabila koefisien konduktivitas logam P sama dengan. Apabila koefisien konduktivitas logam P adalah.
Source: detiks.github.io
Dua batang logam P dan Q disambungkan dengan suhu ujung-ujung berbeda lihat gambar. Bila panjang dan luas kedua logam sama tetapi konduktivitas logam P dua kali konduktivitas logam Q suhu tepat pada sambungan T adalah A20 o C B30 o C C40 o C D50 o C E60 o C. Dua batang logam P dan Q disambungkan dengan suhu ujung-ujung berbeda lihat gambar. Dua batang logam P dan Q disambungkan dengan suhu ujung-ujung berbeda lihat gambar.
Source: masdayat.net
10 kali Kunci. 10 kali Kunci. 14112018 Dua buah batang logam P dan Q dengan suhu ujung-ujung berbeda seperti pada gambar di bawah ini. Apabila koefisien konduktivitas logam P adalah.
Dua batang logam P dan Q disambungkan dengan ujung ujung batang berbeda suhu from A EN MISC at MAN Insan Cendekia Serpong.
Bila konduktivitas logam P 4 kali konduktivitas termal logam Q maka suhu pada sambungan kedua logam saat terjadi keseimbangan termal adalah. Bila konduktivitas logam P 4 kali konduktivitas termal logam Q maka suhu pada sambungan kedua logam saat terjadi keseimbangan termal adalah. Jika koefisien konduksi termal P adalah dua kali koefisien konduksi termal Q maka suhu pada bidang batas P dan Q adalah. 1052020 Dua batang logam P dan Q disambungkan pada salah satu ujungnya. Dua batang logam P dan Q disambungkan dengan ujung ujung batang berbeda suhu from A EN MISC at MAN Insan Cendekia Serpong.
Source: slideshare.net
Kali koefisien konduktivitas logam Q serta AC 2 BC maka suhu di titik C adalah. Dalam C A. Bila gaya tahan rata-rata tanah 10 3 N maka banyaknya tumbukan martil yang perlu dilakukan terhadap tongkat agar menjadi rata dengan permukaan tanah adalah. Jika koefisien konduksi termal P adalah dua kali koefisien konduksi termal Q maka suhu pada bidang batas P dan Q. Laju aliran kalor untuk kedua logam sama maka.
Dua batang logam P dan Q disambungkan dengan suhu ujung-ujung berbeda lihat gambar.
Laju aliran kalor untuk kedua logam sama maka. 14112018 Dua buah batang logam P dan Q dengan suhu ujung-ujung berbeda seperti pada gambar di bawah ini. Bila panjang dan luas kedua logam sama tetapi konduktivitas logam P dua kali konduktivitas logam Q suhu tepat pada sambungan T adalah A20 o C B30 o C C40 o C D50 o C E60 o C. Dua buah batang logam P dan Q dengan suhu ujung-ujung berbeda dilekatkan lihat gambar.
Source: tipsmembedakan.blogspot.com
14112018 Dua buah batang logam P dan Q dengan suhu ujung-ujung berbeda seperti pada gambar di bawah ini. Bila panjang dan luas kedua logam sama tetapi konduktivitas logam P dua kali konduktivitas logam Q suhu tepat pada sambungan T adalah A20 o C B30 o C C40 o C D50 o C E60 o C. Bila gaya tahan rata-rata tanah 10 3 N maka banyaknya tumbukan martil yang perlu dilakukan terhadap tongkat agar menjadi rata dengan permukaan tanah adalah. Apabila koefisen konduktivitas logam P adalah setengah kali koefisien konduktivitas logam Q serta panjang AB 2BC suhu di B adalah. 30122018 Dua batang logam P dan Q disambungkan dengan suhu ujung - ujungnya masing - masing dipertahankan pada suhu 110 dan 40 lihat gambar.
Source: lubukberbagi.blogspot.com
Soal UN 20002001 Dua batang P dan Q dengan ukuran yang sama tetapi jenis logam berbeda dilekatkan seperti pada gambar di bawah. Dua batang logam P dan Q disambungkan salah satu ujungnya seperti gambar di bawah ini. Apabila koefisen konduktivitas logam P adalah setengah kali koefisien konduktivitas logam Q serta panjang AB 2BC suhu di B adalah. Bila panjang dan luas penampang kedua logam adalah sama tetapi konduktivitas logam P dua kali konduktivitas logam Q maka suhu tepat pada sambungan di B adalah. Kali koefisien konduktivitas logam Q serta AC 2 BC maka suhu di titik C adalah.
Source: slideshare.net
Jika koefisien konduksi termal P adalah dua kali koefisien konduksi termal Q maka suhu pada bidang batas P dan Q. Apabila koefisen konduktivitas logam P adalah setengah kali koefisien konduktivitas logam Q serta panjang AB 2BC suhu di B adalah. Bila konduktivitas logam P 4 kali konduktivitas termal logam Q maka suhu pada sambungan kedua logam saat terjadi keseimbangan termal adalah. Dua batang logam P dan Q disambungkan dengan ujung ujung batang berbeda suhu from A EN MISC at MAN Insan Cendekia Serpong. Apabila koefisien konduktivitas logam P adalah.
This site is an open community for users to submit their favorite wallpapers on the internet, all images or pictures in this website are for personal wallpaper use only, it is stricly prohibited to use this wallpaper for commercial purposes, if you are the author and find this image is shared without your permission, please kindly raise a DMCA report to Us.
If you find this site good, please support us by sharing this posts to your preference social media accounts like Facebook, Instagram and so on or you can also bookmark this blog page with the title dua batang logam p dan q by using Ctrl + D for devices a laptop with a Windows operating system or Command + D for laptops with an Apple operating system. If you use a smartphone, you can also use the drawer menu of the browser you are using. Whether it’s a Windows, Mac, iOS or Android operating system, you will still be able to bookmark this website.



